27 трав. 2015 12:26

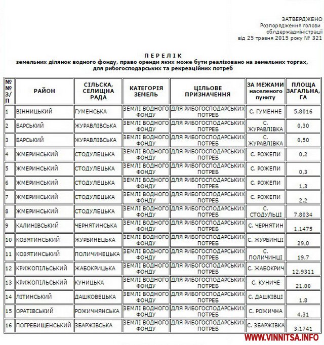
25 травня Голова Вінницької облдержадміністрації підписав Розпорядження «Про затвердження переліку земельних ділянок водного фонду разом з водними об’єктами, право оренди яких може бути реалізовано на земельних торгах, для рибогосподарських та рекреаційних потреб».
В оренду планують передати 16 земельних ділянок водного фонду:
